우주의 가장 짧은 시간 단위, 플랑크 시간(Planck Time)
자연을 이루는 물리 법칙 중 가장 극한의 단위는 우리가 흔히 일상에서 접하는 단위와는 전혀 다른 개념의 세계를 보여줍니다. 시간 단위에서도 그러한 극한의 예는 플랑크 시간(Planck time)입니다. 이는 우리가 지금까지 물리학적으로 정의하고, 개념화할 수 있는 가장 짧은 시간 단위입니다. 이 글에서는 플랑크 시간의 정의, 기준, 측정 가능성, 그리고 이 단위가 실제 어떤 운동에 적용되는지까지 다룰 것입니다.
1. 플랑크 시간이란 무엇인가?
플랑크 시간은 양자역학, 일반 상대성이론, 그리고 중력이론을 통합하여 만들어진 물리 단위계인 플랑크 단위계에서 정의됩니다.
플랑크 시간의 정의:
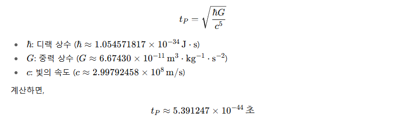
플랑크 시간 tPt_P은 다음과 같은 수식으로 정의됩니다:

즉, 플랑크 시간은 약 10^−44초로, 현재 어떤 물리 실험 장비로도 직접 측정할 수 없는 짧은 시간입니다.
2. 플랑크 시간의 기준과 물리학적 의미
플랑크 시간은 자연 상수들만으로 구성된 단위입니다. 이 말은 인간이 임의로 만든 것이 아니라, 우주 자체가 본질적으로 갖고 있는 단위라는 의미입니다. 이 단위는 양자역학의 불확정성, 중력의 작용, 그리고 상대론적 제한을 모두 고려한 결과물입니다.
왜 플랑크 시간이 중요한가?
플랑크 시간보다 더 짧은 시간 구간에서는:
- 양자중력(Quantum Gravity) 효과가 무시할 수 없게 됩니다.
- 시공간 자체가 휘어지고, 불연속적인 구조를 가질 수 있다는 이론이 존재합니다.
- 일반 상대성이론이나 표준 모형으로는 기술 불가능한 "Planck scale physics"의 영역에 해당합니다.
팁
플랑크 시간의 의미는 단순히 짧은 시간 단위가 아니라, 현재 물리학 이론이 더 이상 적용되지 않는 한계를 나타냅니다. 이 지점에서 우리는 새로운 물리 법칙, 예컨대 초끈이론이나 양자중력 이론이 필요해지는 것입니다.
3. 플랑크 시간은 어떻게 측정할 수 있는가?
엄밀히 말하면, 현재 기술로 플랑크 시간 단위의 사건을 직접 측정할 수는 없습니다.
측정 불가능한 이유:
- 에너지 한계: 이 시간 규모의 사건을 관측하려면
- 플랑크 에너지

의 입자를 다뤄야 합니다.
- 도구의 해상도 부족: 현존하는 가장 빠른 실험 장비도 10^−18∼10^−21}초 수준까지밖에 측정이 불가합니다. 이는 플랑크 시간보다 약 10^20배나 느린 시간입니다.
- 양자중력 이론 미완성: 플랑크 시간에서 벌어지는 물리 현상을 이해하려면 완성된 양자중력 이론이 필요하나, 아직 이론 수준에 머물러 있습니다.
팁
플랑크 시간은 이론적으로 중요한 개념이지, 실험적으로 직접 다루는 단위는 아닙니다. 하지만 입자물리학, 우주론, 블랙홀 물리학에서 경계 조건으로 자주 등장합니다.
4. 플랑크 시간이 적용되는 운동 또는 현상
실제 플랑크 시간이 직접 적용된 운동은 우리가 관측할 수 있는 영역에서는 존재하지 않습니다. 그러나 이 단위가 의미를 가지는 영역은 다음과 같습니다.
1) 우주의 탄생 초기 (빅뱅 이후 t<10−43t < 10^{-43}초)
- 플랑크 시대(Planck epoch)라고 부릅니다.
- 이 시기는 중력, 전자기력, 강한 상호작용, 약한 상호작용이 아직 분리되지 않은 초단일(force unification) 상태였을 가능성이 큽니다.
- 시공간의 휘어짐, 거품처럼 변화하는 양자 요동이 존재했을 수 있음.
2) 블랙홀 중심의 특이점
- 특이점에서는 시간, 공간 모두 무한대의 곡률을 가집니다.
- 플랑크 시간 이하의 스케일에서 공간 구조가 붕괴하거나, 새로운 구조(예: 양자거품)가 생길 수 있음.
3) 초끈이론과 루프 양자중력 이론
- 이러한 이론들은 플랑크 시간 수준에서 시공간의 연속성을 가정하지 않습니다.
- 시공간이 양자화되어 있다는 가정 하에, 시간도 더 이상 무한히 나눌 수 없는 '양자 단위'로 본다는 시각이 존재.
팁
플랑크 시간은 실제 "운동"이라기보다, 우리가 알고 있는 물리 법칙이 더 이상 유효하지 않은 지점을 나타냅니다. 이 시간 이후에야 우주가 현재와 같은 물리 법칙을 따르기 시작했다고 생각됩니다.
정리
개념 내용
| 플랑크 시간 (t_p) | |
| 의미 | 시간의 가장 작은 이론적 단위. 시공간의 양자 요동 발생 |
| 기준 | 양자역학, 중력, 상대성 이론을 통합한 자연 상수 기반 |
| 측정 가능성 | 현 기술로는 불가능. 이론적으로만 의미 있음 |
| 적용 사례 | 빅뱅 초기, 블랙홀 특이점, 초끈이론/양자중력 이론 등 |
'Science > physics' 카테고리의 다른 글
| 양자중력 이론에는 어떤 종류들이 있는가 (0) | 2025.12.14 |
|---|---|
| 원자보다 작은것은? (1) | 2025.10.02 |
| 원자는 무엇으로 만들어져있을까 (0) | 2025.07.23 |
| 시간에 대한 가장 권위 있는 이론 : 블록 우주론, 그리고 그에 대한 반박 (1) | 2025.04.23 |
| 관성좌표계와 비관성좌표의 차이 (0) | 2025.04.03 |
