1. 원자핵에서 양성자가 서로 붙어 있을 수 있는 이유
원자핵은 **양성자(+)와 중성자(0)**로 구성되어 있습니다. 양성자는 양전하(+1)를 띠기 때문에, **쿨롱의 법칙(Coulomb's Law)**에 의해 서로 강하게 밀어내야 합니다. 하지만 **강한 핵력(Strong Nuclear Force)**이라는 힘이 작용하여 원자핵을 안정적으로 유지할 수 있습니다.
즉, 원자핵이 유지되는 원리는 두 가지 힘의 균형에 의해 결정됩니다.
- 쿨롱 반발력: 양성자들이 서로 밀어내려는 힘
- 강한 핵력: 양성자와 중성자를 강하게 끌어당기는 힘
이제 각각의 힘을 자세히 알아보겠습니다.
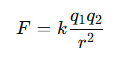
2. 쿨롱의 법칙 (Coulomb’s Law)
쿨롱의 법칙은 전하를 띤 입자들이 서로 밀거나 당기는 전기력의 크기를 결정하는 법칙입니다.
(1) 쿨롱의 법칙 공식

- F = 두 전하 사이의 힘 (N, 뉴턴)
- k = 쿨롱 상수 (8.9875 \times 10^9 N·m²/C²)
- q1,q2 = 두 입자의 전하량 (C, 쿨롱)
- r = 두 전하 사이의 거리 (m, 미터)

(2) 양성자 사이의 쿨롱 반발력 계산
- 양성자 하나의 전하량: q=1.602 \times 10^{-19} C
- 원자핵 내 양성자 간 거리(평균적으로 약 1펨토미터 = 10^{-15} m)
대략적으로 계산하면,

👉 이 힘은 사람 손으로 들 수 있는 약 20kg의 물체를 잡아당기는 힘과 비슷함.
하지만, 현실에서 원자핵은 붕괴하지 않습니다. 이는 **강한 핵력(Strong Nuclear Force)**이 더 크기 때문입니다.
3. 강한 핵력 (Strong Nuclear Force)
강한 핵력은 자연에서 가장 강한 힘이며, 원자핵 내에서 양성자와 중성자를 결합하는 역할을 합니다.
(1) 강한 핵력의 특징
✅ 매우 짧은 범위에서 작용
- 강한 핵력은 약 1~3 펨토미터 (10^{-15} m) 거리 내에서만 작용
- 거리가 멀어지면 급격히 약해지고, 원자핵 바깥에서는 거의 작용하지 않음.
✅ 전하에 관계없이 작용
- 강한 핵력은 양성자-양성자, 양성자-중성자, 중성자-중성자 간에 모두 작용
- 즉, 중성자도 핵을 결합하는 데 중요한 역할을 함.
✅ 쿨롱 반발력보다 훨씬 강함
- 양성자 사이의 쿨롱 반발력은 약 230 N 정도지만, 강한 핵력은 그보다 약 100배 이상 강함.

(2) 강한 핵력의 크기
강한 핵력의 정확한 수치는 핵자(양성자 또는 중성자) 간 거리에 따라 다르지만,
대략적으로 1펨토미터 거리에서 약 10^{38} 배 강한 전자기력에 해당하는 힘을 가집니다.

👉 즉, 강한 핵력은 쿨롱 반발력보다 100배 이상 크기 때문에 원자핵을 안정적으로 유지할 수 있음.
(3) 강한 핵력과 결합 에너지
강한 핵력에 의해 원자핵이 유지될 때, 결합에너지가 발생합니다.
이 결합에너지가 바로 **핵에너지(nuclear energy)**이며, 핵폭발의 원천이 됩니다.
4. 원자 하나가 가지고 있는 에너지
원자핵의 결합 에너지를 계산하려면 E = mc² (아인슈타인의 질량-에너지 등가 원리)를 사용합니다.
(1) 수소 원자의 결합 에너지 (대략적인 값)
- 수소 원자의 질량:1.67 \times 10^{-27} kg
- 빛의 속도: c=3.0 \times 10^8 m/s
- 따라서, 수소 원자 하나가 가진 에너지는:

👉 즉, 수소 원자 하나가 가지고 있는 에너지는 약1.5 \times 10^{-10} 줄(J) 정도.
👉 이는 개별 원자로 보면 작지만, 많은 원자가 모이면 엄청난 에너지가 됨.
5. 핵폭발과 비교
핵폭발은 원자핵이 붕괴하거나 융합할 때 방출되는 결합 에너지를 이용하는 과정입니다.
(1) 원자폭탄 (핵분열)
- 우라늄-235 또는 플루토늄-239의 핵분열을 통해 거대한 에너지를 방출.
- 핵분열 시 약 200MeV(= 3.2 \times 10^{-11} J) 정도의 에너지가 1개 원자핵에서 방출됨.
- 1kg의 우라늄이 핵분열하면 약 8.64 × 10¹³ J의 에너지를 방출.
→ 이는 TNT 폭약 20,000톤(TNT 20킬로톤)과 같은 위력.
(2) 수소폭탄 (핵융합)
- 수소 원자가 융합하여 헬륨을 만들 때 더 많은 에너지가 방출됨.
- 1g의 수소가 핵융합하면 약 340GJ(= 3.4 \times 10^{11} J)의 에너지를 방출.
- 히로시마 원자폭탄(15킬로톤)보다 100배 이상의 위력을 가짐.
6. 결론
✅ 양성자는 쿨롱 반발력 때문에 밀어내려 하지만, 강한 핵력에 의해 결합됨.
✅ 쿨롱 반발력은 약 230N, 강한 핵력은 그보다 100배 이상 강한 10^{13} N 수준.
✅ 원자 하나가 가진 에너지는 작지만, 많은 원자가 핵분열하면 핵폭발과 같은 엄청난 에너지를 방출.
✅ 1kg의 우라늄이 핵분열하면 TNT 20,000톤과 같은 위력을 가짐.
👉 즉, 원자핵 내부에서는 강한 핵력이 강력한 쿨롱 반발을 억제하고 원자핵을 안정적으로 유지하며, 이 과정에서 방출되는 결합 에너지가 핵폭발과 같은 강력한 에너지의 원천이 됨. 🚀
'Science > physics' 카테고리의 다른 글
| 시간에 대한 가장 권위 있는 이론 : 블록 우주론, 그리고 그에 대한 반박 (1) | 2025.04.23 |
|---|---|
| 관성좌표계와 비관성좌표의 차이 (0) | 2025.04.03 |
| 원자에 대해서 , 원자의 구성 요소, (0) | 2025.03.24 |
| 2024 노벨 물리학상 내용 (1) | 2025.01.11 |
| 태양계 행성들의 위치(태양으로부터의 거리)의 원리 (3) | 2024.12.31 |